By Sandy Robson
December 15, 2021

On November 12, 2021, numerous news media outlets reported that Washington state senator representing the 42nd Legislative District, Doug Ericksen (R-Ferndale), was sick and stranded in El Salvador after testing positive for COVID-19 shortly after traveling there. He reportedly had sent a November 11 email to Senate and House Republican legislators, seeking their potential help in obtaining advanced treatment (monoclonal antibodies — Regeneron) to send to him in El Salvador.

According to an article published on November 19, 2021, by The Bellingham Herald, Ericksen was in stable condition at a Fort Lauderdale, Florida, hospital and was receiving treatment for COVID-19 after being transported via a medevac flight from El Salvador. That information was provided to The Herald by former state Rep. Luanne Van Werven, who said she was authorized to speak for the Ericksen family.
“Because of pandemic-related travel restrictions, Ericksen likely would have been unable to take a commercial flight out of El Salvador after testing positive for COVID-19,” The Herald reported. The November 19 article also stated:
“A public social media post earlier this week said Ericksen had been flown to Florida by Air Ambulance, a private medevac service, but its author told The Herald that he had not spoken directly to Ericksen.”
On December 10, The Bellingham Herald reported on the fact that there has been no word on the condition or location of Sen. Ericksen after initial reports that he was receiving his treatment in a Fort Lauderdale hospital. According to the article, calls to Ericksen had not been returned, his office staff was unwilling to make any comment, and Van Werven told The Herald that she had no new information and it would be best to contact Ericksen’s family.
All of the various news stories about Sen. Ericksen’s situation reported that it was not clear why the senator had traveled to El Salvador, and whether he had been vaccinated against the COVID-19 virus prior to his trip to El Salvador.
After learning of the initial news of Sen. Ericksen having contracted COVID-19, The Searchlight Review, along with Dena Jensen of the Noisy Waters Northwest blog, did some digging into why he may have traveled to El Salvador.
Our research found a September 12, 2021, Instagram post by “fatima_m1794” which appears to be an Instagram profile for Fatima Muñoz, who according to her social media accounts, is a graphic designer and photographer in San Salvador, El Salvador.
The September 12 Instagram post featured several photos: A photo of the PacRim Bridges, LLC logo and name, a photo of a mask/face covering with a PacRim Bridges, LLC logo and name, a photo of a coffee mug with the PacRim Bridges, LLC logo and name, and a photo of a business card that states “Doug Ericksen, CEO, PacRim Bridges, LLC.”





The text of Muñoz’s September 12 Instagram post was written in Spanish. According to the English translation available below the text of that post, it stated: “Branding creation for PacRim Bridges 🇺🇸foundation.” There are also various hashtags at the bottom of the post.
One side of the business card featured the PacRim Bridges, LLC logo and name with text underneath billing the company as, “Political & Business Consultants.”
The card listed an office address in El Salvador for PacRim Bridges, LLC, Ericksen’s PacRim Bridges, LLC email address, and a phone number for him which is his cell phone number. According to online records published on the Washington State Public Disclosure Commission website, that same cell phone number is listed on the C-1 candidate registration form for the “Committee to elect Douglas Ericksen.”
The address for PacRim Bridges, LLC listed on the business card shows “Edificio World Trade Center,” which according to regus.com, is “El Salvador’s premium World Trade Centre.” The Regus website advertises the office building complex as providing professional business solutions from office space, co-working, virtual offices, and meeting rooms. According to the website, it is a “prime location close to the city’s commercial and financial districts, home to embassies, multinationals and IT companies.” It’s worth noting that the website stated that pricing is based on 24-month contracts.


People may remember the news that broke back in April of 2019 about PacRim Bridges, LLC, a company which Ericksen and his business partner, Jay Rodne, a former Washington state representative from Snoqualmie, Washington, founded in November of 2017.
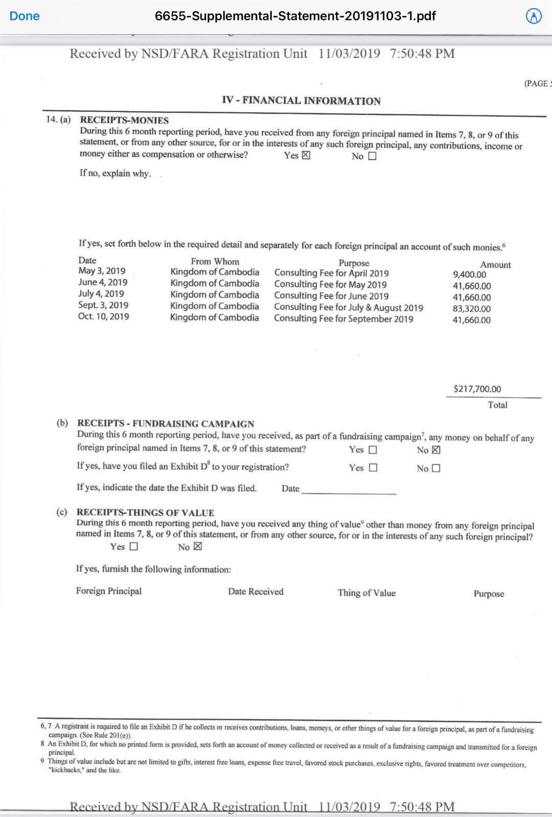
Rodne and Ericksen, under PacRim Bridges, LLC, had to register as foreign agents in April 2019 with the U.S. Department of Justice National Security Division FARA (Foreign Agents Registration Act) Unit since their company contracted with the Kingdom of Cambodia (and would be paid $500,000) to consult/lobby on behalf of its country.
According to records posted online on the U.S. Department of Justice’s efile.fara.gov website, PacRim Bridges, LLC was paid a total of $217,700 in 2019 and a total of $208,175 in 2020 by the Kingdom of Cambodia. Additionally, the online FARA records show that Ericksen and Rodne received reimbursement monies of approximately $4,455 for hotel and airfare expenses in 2019 and $2,904 in 2020 from the Kingdom of Cambodia. So far, there are no FARA filing records showing online for PacRim Bridges, LLC in 2021.


Ericksen chose to travel to El Salvador recently, despite the fact that according to the U.S. Department of State — Bureau of Consular Affairs website, as of August 9, 2021, there has been a travel advisory for El Salvador, advising U.S. residents to “reconsider travel to El Salvador due to COVID-19.”
That travel advisory included information that the Centers for Disease Control and Prevention (CDC) has issued a “Level 3 Reconsider Travel Health Notice for El Salvador due to COVID-19,” indicating a high level of COVID-19 in the country. Also, due to COVID-19, the U.S. Embassy in El Salvador has issued an “El Salvador Travel Advisory – Level 4: Do Not Travel” recommendation, according to the U.S. Department of State’s sv.usembassy.gov website.


Sen. Ericksen has publicly opposed COVID-19 vaccine mandates and has sought to lessen some of the protective measures state officials in Washington state have issued in their efforts to fight the spread of COVID-19.
Since the pandemic began, Sen. Ericksen could be seen in photos and videos posted on social media where he was not wearing a face covering at a number of local events. This writer had reported in a November 12, 2021, Facebook post that prior to his trip to El Salvador, Ericksen apparently attended the Whatcom Business Alliance’s “Leaders of Industry Issues Forum” at the end of October. At that WBA event held at the Hotel Bellwether, almost no one was wearing a face covering according to the nearly thirty photos which accompanied a November 9, 2021 post that was displayed at that time on WBA’s Facebook page. Presently, the November 9 post is no longer displayed on WBA’s Facebook page.

It remains to be seen whether or not Sen. Ericksen, after becoming ill with the coronavirus and subsequently receiving treatment, will change his oppositional attitude toward some of the measures implemented by Washington state to fight and limit the spread of COVID-19.

